Номер 568 - ГДЗ Алгебра 7 класс. Мерзляк, Полонский. Учебник. Страница 104

Вернуться к содержанию учебника

Страница 104

565 566 567 568 569 570 571

Вопрос

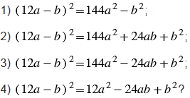
Какое из данных равенств является тождеством:

Подсказка

Ответ


Вернуться к содержанию учебника