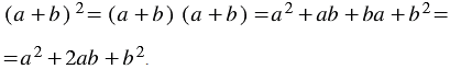
Рассмотрим выражение
. Преобразуем это выражение в многочлен. Согласно определению степени с натуральным показателем можем записать:
.
Согласно правилу умножения многочлена на многочлен, получим:

Итак, мы получили тождество
, которое называют формулой квадрата суммы двух выражений.
Правило:
| Квадрат суммы двух выражений равен квадрату первого выражения плюс удвоенное произведение первого и второго выражений плюс квадрат второго выражения. |
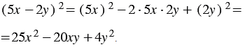
Пример. Представьте в виде многочлена выражение:

Решение:
По формуле квадрата суммы двух выражений получаем:

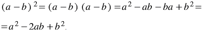
Рассмотрим выражение
. Преобразуем это выражение в многочлен. Согласно определению степени с натуральным показателем можем записать:

Согласно правилу умножения многочлена на многочлен, получим:

Итак, мы получили тождество
, которое называют формулой квадрата разности двух выражений.
Правило:
| Квадрат разности двух выражений равен квадрату первого выражения минус удвоенное произведение первого и второго выражений плюс квадрат второго выражения. |
Пример. Представьте в виде многочлена выражение:

Решение:
По формуле квадрата разности двух выражений получаем:

Полученные формулы относят к формулам сокращенного умножения, т.к. с помощью этих формул можно, не используя правило умножения многочлена на многочлен, проще возводить в квадрат сумму либо разность любых двух выражений.
Произведение разности и суммы двух выражений. Разность квадратов двух выражений.
Сумма и разность кубов двух выражений
Линейное уравнение с одной переменной
Решение задач с помощью уравнений
Тождественно равные выражения. Тождества
Степень с натуральным показателем
Свойства степени с натуральным показателем
Сложение и вычитание многочленов
Умножение одночлена на многочлен
Умножение многочлена на многочлен
Разложение многочленов на множители
Формулы сокращенного умножения
Квадратные корни. Дейстительные числа
Системы линейных уравнений с двумя переменными
Элементы математической логики
7 класс
Номер 578, Мерзляк, Полонский, Якир, Учебник
Номер 582, Мерзляк, Полонский, Якир, Учебник
Номер 631, Мерзляк, Полонский, Якир, Учебник
Номер 655, Мерзляк, Полонский, Якир, Учебник
Номер 725, Мерзляк, Полонский, Якир, Учебник
Номер 730, Мерзляк, Полонский, Якир, Учебник
Номер 740, Мерзляк, Полонский, Якир, Учебник
Номер 900, Мерзляк, Полонский, Якир, Учебник
Номер 1202, Мерзляк, Полонский, Якир, Учебник
Номер 12, Мерзляк, Полонский, Якир, Учебник
8 класс
Номер 39, Мерзляк, Полонский, Якир, Учебник
Номер 61, Мерзляк, Полонский, Якир, Учебник
Номер 93, Мерзляк, Полонский, Якир, Учебник
Номер 162, Мерзляк, Полонский, Якир, Учебник
Номер 202, Мерзляк, Полонский, Якир, Учебник
Номер 290, Мерзляк, Полонский, Якир, Учебник
Номер 520, Мерзляк, Полонский, Якир, Учебник
Номер 538, Мерзляк, Полонский, Якир, Учебник
Номер 693, Мерзляк, Полонский, Якир, Учебник
Номер 868, Мерзляк, Полонский, Якир, Учебник