Номер 1131 - ГДЗ Математика 5 класс. Мерзляк, Полонский. Учебник. Страница 275

Вернуться к содержанию учебника

Страница 275

1128 1129 1130 1131 1132 1133 1134

Вопрос

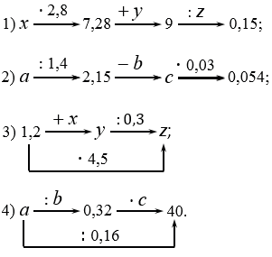
Найдите числа, которых не хватает в цепочке вычислений:

Подсказка

Вспомните:

  1. Как решают уравнения.
  2. Сложение и вычитание десятичных дробей.
  3. Умножение десятичных дробей.
  4. Деление десятичных дробей.

Ответ


Вернуться к содержанию учебника