Номер 1127 - ГДЗ Математика 5 класс. Мерзляк, Полонский. Учебник. Страница 274

Вернуться к содержанию учебника

Страница 274

1124 1125 1126 1127 1128 1129 1130

Вопрос

Найдите значение выражения:    

1) 72 : ( - 17) - 4, если = 35;

2) ( + 259) : ( - 205), если = 321;

3) 61,32 - 61,32 : (), если = 3,6, = 4,8;

4) 4,346 : - : 0,25, если = 0,82, = 0,4;

5) 2,04 : + 5,19, если = 3,4, = 0,4;

6) 1,4 - 0,3, если = 2,6, = 5,09;

7) 1 000 + 0,01, если = 0,2346, = 26 540;

8) 453 - 0,1827, если = 0,1, = 100;

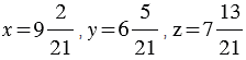
9) + - , если ;

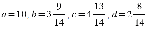
10) - - + , если .

Подсказка

Вспомните:

  1. Как найти значение буквенного выражения.
  2. Порядок выполнения действий.
  3. Сложение и вычитание десятичных дробей.
  4. Умножение десятичных дробей.
  5. Деление десятичных дробей.
  6. Сложение и вычитание обыкновенных дробей с одинаковыми знаменателями.

Ответ


Вернуться к содержанию учебника