Номер 448 - ГДЗ Алгебра 8 класс. Мерзляк, Полонский. Учебник. Страница 114

Вернуться к содержанию учебника

Упражнения §14. Страница 114

445 446 447 448 449 450 451

Вопрос

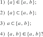
Истинным или ложным является высказывание:

Подсказка

Вспомните:

  1. Что называют множеством.
  2. Что называют элементом множества.
  3. Способы задания множеств.
  4. Какое множество называют подмножеством данного множества.

Ответ


Вернуться к содержанию учебника