Номер 470 - ГДЗ Алгебра 7 класс. Мерзляк, Полонский. Учебник. Страница 86

Вернуться к содержанию учебника

Страница 86

467 468 469 470 471 472 473

Вопрос

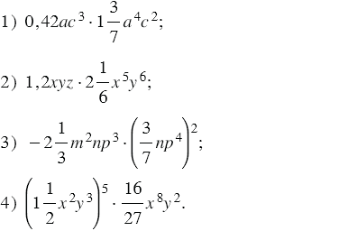
Упростите выражение:

Подсказка

Ответ


Вернуться к содержанию учебника