Номер 327 - ГДЗ Алгебра 7 класс. Мерзляк, Полонский. Учебник. Страница 65

Вернуться к содержанию учебника

Страница 65

324 325 326 327 328 329 330

Вопрос

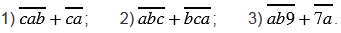
Представьте в виде многочлена выражение:

Подсказка

Вспомните:

  1. Разряды натуральных чисел.
  2. Что называют многочленом.
  3. Что называют одночленом.
  4. Сложение и вычитание многочленов.
  5. Правила раскрытия скобок, подобные слагаемые.

Ответ


Вернуться к содержанию учебника