Номер 308 - ГДЗ Алгебра 7 класс. Мерзляк, Полонский. Учебник. Страница 63

Вернуться к содержанию учебника

Страница 63

305 306 307 308 309 310 311

Вопрос

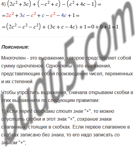
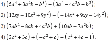
Упростите выражение:

Подсказка

Вспомните:

  1. Как найти сумму и разность многочленов.
  2. Что называют многочленом.
  3. Что называют одночленом.
  4. Правила раскрытия скобок, подобные слагаемые.
  5. Правила сложения рациональных чисел.
  6. Правило вычитания рациональных чисел.
  7. Модуль числа.
  8. Противоположные числа.

Ответ


Вернуться к содержанию учебника