Номер 444 - ГДЗ Математика 6 класс. Мерзляк, Полонский. Учебник. Страница 82

Вернуться к содержанию учебника

Страница 82

441 442 443 444 445 446 447

Вопрос

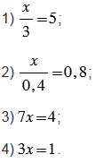
Решите уравнение:

Подсказка

Вспомните:

  1. Деление и дроби.
  2. Решение уравнений.
  3. Умножение десятичных дробей.

Ответ


Вернуться к содержанию учебника