Вернуться к содержанию учебника
Выберите год учебника
Стр. 15 учебника 2011-2022:
1. Выпиши номера прямоугольников.

Стр. 15 учебника 2023-2024:
1. Вычисли с устным объяснением и проверкой.
1) 32 + 45 68 - 43
54 + 13 79 - 56
| 2) |
|
|
|
|
|
| 3) |
|
|
|
|
|
Стр. 15 учебника 2011-2022:
Решение
Фигуры 3 и 4.
Пояснение

Стр. 15 учебника 2023-2024:
Задание 1:
| Решение | |||||||||||||||||||||||||||||||||||
|
|
|
| ||||||||||||||||||||||||||||||||
| Проверка | |||||||||||||||||||||||||||||||||||
|
|
|
| ||||||||||||||||||||||||||||||||
Задание 2:
| Решение | |||||||||||||||||||||||||||||||||||||||||||||||
|
|
|
|
| |||||||||||||||||||||||||||||||||||||||||||
| Проверка | |||||||||||||||||||||||||||||||||||||||||||||||
|
|
|
|
| |||||||||||||||||||||||||||||||||||||||||||
Задание 3:
| Решение | ||||||||||||||||||||||||||||||||||||||||||||||||||||||||
|
|
|
|
| ||||||||||||||||||||||||||||||||||||||||||||||||||||
| Проверка | ||||||||||||||||||||||||||||||||||||||||||||||||||||||||
|
|
|
|
| ||||||||||||||||||||||||||||||||||||||||||||||||||||
Пояснение
Устное объяснение одного из примеров на сложение.
57 + 38 = ?
Запишем решение столбиком.
Пишу десятки под десятками, а единицы под единицами.
Складываю единицы: 7 + 8 = 15.
Пишу 5 под единицами, а 1 десяток запоминаю (как правило, при выполнении сложения в столбик, этот десяток записывают сверху над десятками).
Складываю десятки: 5 + 3 = 8 и ещё 1 десяток, который запоминали, получается 9.
Пишу 9 под десятками.
Читаю ответ: сумма равна 95.
Устное объяснение одного из примеров на вычитание.
42 - 18 = ?
Запишем решение столбиком.
Пишу десятки под десятками, а единицы под единицами.
Вычитаю единицы. Из 2 нельзя вычесть 8. Беру 1 дес. из 4 дес. (Чтобы не забыть, ставлю точку над цифрой 4).
1 дес. и 2 ед. - это 12 ед.
12 - 8 = 4
Пишу под единицами 4.
Вычитаю десятки. Было 4 дес., но 1 дес. взяли при вычитании единиц. Осталось 3 дес.
3 - 1 = 2
Пишу под десятками 2.
Читаю ответ: разность равна 24.
Чтобы проверить вычитание, можно использовать любой из следующих способов:
Чтобы проверить сложение, можно использовать любой из следующих способов:
Выберите год учебника
Стр. 15 учебника 2011-2022:
2. У хозяина было 12 кроликов: 8 чёрных, а остальные белые. Сколько было белых кроликов?
Стр. 15 учебника 2023-2024:
2.

Стр. 15 учебника 2011-2022:
Стр. 15 учебника 2023-2024:
Повтори, как найти значение буквенного выражения.
Стр. 15 учебника 2011-2022:
Решение
12 - 8 = 4 (к.)
Ответ: 4 белых кролика.
Пояснение

Стр. 15 учебника 2023-2024:
Решение

Пояснение
Чтобы найти значение буквенного выражения, нужно в это выражение вместо буквы подставить число, которое дано в условии, и выполнить вычисления.
| 28 + 9 = 37 36 + 9 = 45 17 + 9 = 26 54 + 9 = 63 | 64 - 8 = 56 43 - 8 = 35 52 - 8 = 44 76 - 8 = 68 |
Выберите год учебника
Стр. 15 учебника 2011-2022:
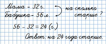
3. Маме 32 года, а бабушке 56 лет. На сколько лет бабушка старше мамы?
Стр. 15 учебника 2023-2024:
3. Найди значения выражений а + 8 и b - 6 при а =14, а = 8, а = 6, а = 0 и b = 13, b = 18,
b = 44, b = 50
Стр. 15 учебника 2011-2022:
Чтобы узнать, на сколько одно число больше или меньше другого, нужно из большего числа вычесть меньшее - вычитание.
Повтори, как оформить краткую запись задачи.
Стр. 15 учебника 2023-2024:
Повтори, как найти значение буквенного выражения.
Стр. 15 учебника 2011-2022:
Решение
56 - 32 = 24 (г.)
Ответ: на 24 старше.
Пояснение

Стр. 15 учебника 2023-2024:
Решение
| а | 14 | 8 | 6 | 0 |
| а + 8 | 22 | 16 | 14 | 8 |
| b | 13 | 18 | 44 | 50 |
| b - 6 | 7 | 12 | 38 | 44 |
Пояснение
Чтобы найти значение буквенного выражения, нужно в это выражение вместо буквы подставить число, которое дано в условии, и выполнить вычисления.
| 14 + 8 = 22 8 + 8 = 16 6 + 8 = 14 0 + 8 = 8 | 13 - 6 = 7 18 - 6 = 12 44 - 6 = 38 50 - 6 = 44 |
Выберите год учебника
Стр. 15 учебника 2011-2022:
4. В ведро входит 8 л воды. Коля принёс 3 таких ведра с водой. Сколько литров воды он принёс?
Стр. 15 учебника 2023-2024:
4. Выпиши уравнения, решением которых является число 7.
| 15 - х = 8 | 21 - х = 20 | 15 - х = 5 |
| 13 - х = 7 | 14 - х = 7 | 16 - х = 9 |
| х + 40 = 47 | 17 - х = 10 | 27 - х = 20 |
Стр. 15 учебника 2011-2022:
Повтори таблицу умножения на 3.
Стр. 15 учебника 2023-2024:
Решить уравнение – это значит найти такое значение неизвестного числа, при котором это равенство станет верным.
Чтобы найти неизвестное вычитаемое, нужно из уменьшаемого вычесть разность.Чтобы найти неизвестное уменьшаемое, нужно к разности прибавить вычитаемое.
Чтобы найти неизвестное слагаемое, нужно из суммы вычесть известное слагаемое.
Стр. 15 учебника 2011-2022:
Решение
8 • 3 = 24 (л)
Ответ: Коля принёс 24 л воды.
Пояснение

Стр. 15 учебника 2023-2024:
Решение
15 - х = 8 х + 40 = 47 14 - х = 7
17 - х = 10 16 - х = 9 27 - х = 20
Пояснение
| 15 - х = 8 х = 15 - 8 х = 7 | 21 - х = 20 х = 21 - 20 х = 1 | 15 - х = 5 х = 15 - 5 х = 10 |
| 13 - х = 7 х = 13 - 7 х = 6 | 14 - х = 7 х = 14 - 7 х = 7 | 16 - х = 9 х = 16 - 9 х = 7 |
| х + 40 = 47 х = 47 - 40 х = 7 | 17 - х = 10 х = 17 - 10 х = 7 | 27 - х = 20 х = 27 - 20 х = 7 |
Выберите год учебника
Стр. 15 учебника 2011-2022:
5.
|
|
|
|
|
Стр. 15 учебника 2023-2024:
5. Используя числа 21, 14, 8 и 7, составь по 2 верных равенства и неравенства.
Стр. 15 учебника 2011-2022:
Стр. 15 учебника 2023-2024:
Запись, в которой есть знак РАВНО, называется РАВЕНСТВОМ.
Запись, в которой есть знак БОЛЬШЕ или МЕНЬШЕ, называется НЕРАВЕНСТВОМ.
Стр. 15 учебника 2011-2022:
Решение
|
|
|
|
|
Пояснение
Чтобы быть уверенным в своих вычислениях, можно выполнить проверку.
Чтобы проверить сложение, можно использовать один из следующих способов:
Чтобы проверить вычитание, можно использовать один из следующих способов:
Если есть необходимость, то число, которое запоминают при выполнении сложения в столбик, можно писать сверху над разрядом, к которому это число будут прибавлять.
| Решение | |||||||||||||||||||||||||||||||||||||||||||||||||||||||||||||||
|
|
|
|
| |||||||||||||||||||||||||||||||||||||||||||||||||||||||||||
| Проверка | |||||||||||||||||||||||||||||||||||||||||||||||||||||||||||||||
|
|
|
|
| |||||||||||||||||||||||||||||||||||||||||||||||||||||||||||
Стр. 15 учебника 2023-2024:
Решение
Неравенства: 8 + 7 < 21
14 + 8 > 21
Равенства: 14 + 7 = 21
21 - 14 = 7
Пояснение
Есть другие варианты:
Неравенства: 21 - 8 < 14
7 + 8 > 14
14 + 7 < 21 + 8
Равенства: 21 - 7 = 14
Выберите год учебника
Стр. 15 учебника 2011-2022:
6. 
16 - 9 8 + 3 | 64 см 1 м |
30 см 28 дм | 32 + 4 46 |
Стр. 15 учебника 2023-2024:
6.
| 80 - (24 - 6) | 34 + (18 + 2 ) |
| 90 - (36 - 8) | 89 - (64 - 4) |
| 48 + (13 + 7) | 75 - (37 - 7) |
Стр. 15 учебника 2011-2022:
Повтори, сколько сантиметров в одном дециметре, сколько миллиметров в одном сантиметре, сколько дециметров в одном метре.

Стр. 15 учебника 2023-2024:
Стр. 15 учебника 2011-2022:
Решение
| 16 - 9 < 8 + 3 | 64 см < 1 м |
| 30 см < 28 дм | 32 + 4 < 46 |
Пояснение
| 16 - 9 < 8 + 3 7 < 11 | 64 см < 1 м 64 см < 100 см |
| 30 см < 28 дм 3 дм < 28 дм | 32 + 4 < 46 36 < 46 |
Стр. 15 учебника 2023-2024:
Решение
| 80 - (24 - 6) = 62 | 34 + (18 + 2) = 54 |
| 90 - (36 - 8) = 62 | 89 - (64 - 4) = 29 |
| 48 + (13 + 7) = 68 | 75 - (37 - 7) = 45 |
Пояснение
Если в выражении есть скобки, то первое действие выполняют в скобках.
| 80 - (24 - 6) = 80 - 18 = 80 - 10 - 8 = 70 - 8 = 62 | 34 + (18 + 2) = 34 + 20 = 54 |
| 90 - (36 - 8) = 90 - 28 = 90 - 20 - 8 = 70 - 8 = 62 | 89 - (64 - 4) = 89 - 60 = 29 |
| 48 + (13 + 7) = 48 + 20 = 68 | 75 - (37 - 7) = 75 - 30 = 45 |
Если есть необходимость, то при решении примеров в два действия, можно записывать промежуточные ответы при выполнении первого действия сверху карандашом над этим действием (у нас промежуточные ответы выделены красным цветом).

Выберите год учебника
Стр. 15 учебника 2011-2022:
7.
| 12 - 8 + 6 | 30 - (20 - 6) | 56 - 7 |
| 11 - 7 + 8 | 40 - (30 - 6) | 34 - 6 |
| 12 - 5 + 8 | 50 - (40 - 6) | 63 + 7 |
Стр. 15 учебника 2023-2024:
7.
| 8 + 7 - 6 | 12 - 7 + 9 | 6 + 6 - 8 |
| 4 + 9 - 7 | 16 - 8 + 9 | 7 + 7 - 5 |
Стр. 15 учебника 2011-2022:
Вспомни порядок выполнения действий при нахождении значения числовых выражений со скобками и без них.
Стр. 15 учебника 2023-2024:
Стр. 15 учебника 2011-2022:
Решение

Пояснение

Если есть необходимость, то при решении примеров в два действия, можно записывать промежуточные ответы при выполнении первого действия сверху карандашом над этим действием (у нас промежуточные ответы выделены красным цветом).

Стр. 15 учебника 2023-2024:
Решение
| 8 + 7 - 6 = 9 | 16 - 8 + 9 = 17 |
| 4 + 9 - 7 = 6 | 6 + 6 - 8 = 4 |
| 12 - 7 + 9 = 14 | 7 + 7 - 5 = 9 |
Пояснение
Если выражении нет скобок и оно содержит только действия сложения и вычитания, то действия выполняют по порядку слева направо.
| 8 + 7 - 6 = 15 - 6 = 15 - 5 - 1 = 10 - 1 = 9 | 12 - 7 + 9 = 5 + 9 = 5 + 5 + 4 = 10 + 4 = 14 | 6 + 6 - 8 = 12 - 8 = 12 - 2 - 6 = 10 - 6 = 4 |
| 4 + 9 - 7 = 13 - 7 = 13 - 3 - 4 = 10 - 4 = 6 | 16 - 8 + 9 = 8 + 9 = 8 + 2 + 7 = 10 + 7 = 17 | 7 + 7 - 5 = 14 - 5 = 14 - 4 - 1 = 10 - 1 = 9 |
Если есть необходимость, то при решении примеров в два действия, можно записывать промежуточные ответы при выполнении первого действия сверху карандашом над этим действием (у нас промежуточные ответы выделены красным цветом).

Выберите год учебника
Стр. 15 учебника 2011-2022:
8. Найди значения выражений а - 8 и а + 10 при а = 12, а = 20, а = 28, а = 43.
Стр. 15 учебника 2023-2024:
8.
8 + 4 + = 16 | 17 - - 10 = 0 |
7 + 9 + = 20 | 9 + 0 + = 20 |
15 - - 8 = 0 | 9 - + 15 = 15 |
16 - + 4 = 12 | 18 - 9 + = 14 |
Стр. 15 учебника 2011-2022:
Повтори, как найти результат буквенного выражения.
Стр. 15 учебника 2023-2024:
Повтори случаи табличного сложения и табличного вычитания.
Если к числу прибавить 0, получится то же самое число.
Если из числа вычесть то же самое число, получится 0.
Что называют равенством.
Стр. 15 учебника 2011-2022:
| а - 8 | а + 10 | |
| а = 12 | 12 - 8 = 4 | 12 + 10 = 22 |
| а = 20 | 20 - 8 = 12 | 20 + 10 = 30 |
| а = 28 | 28 - 8 = 20 | 28 + 10 = 38 |
| а = 43 | 43 - 8 = 35 | 43 + 10 = 53 |
Пояснение
Чтобы найти значение буквенного выражения при заданном числовом значении буквы, входящей в него, нужно вместо буквы подставить данное число и выполнить вычисления.
Стр. 15 учебника 2023-2024:
Решение
| 8 + 4 + 4 = 16 | 17 - 7 - 10 = 0 |
| 7 + 9 + 4 = 20 | 9 + 0 + 11 = 20 |
| 15 - 7 - 8 = 0 | 9 - 9 + 15 = 15 |
| 16 - 8 + 4 = 12 | 18 - 9 + 5 = 14 |
Пояснение
Нам нужно вместо квадратиков вставить такие числа, чтобы равенство получилось верным.
| 8 + 4 + 4 = 12 + 4 = 16 | 17 - 7 - 10 = 10 - 10 = 0 |
| 7 + 9 + 4 = 16 + 4 = 20 | 9 + 0 + 11 = 9 + 11 = 20 |
| 15 - 7 - 8 = 8 - 8 = 0 | 9 - 9 + 15 = 0 + 15 = 15 |
| 16 - 8 + 4 = 8 + 4 = 12 | 18 - 9 + 5 = 9 + 5 = 14 |
Выберите год учебника
Стр. 15 учебника 2011-2022:
9. Переставь карточки с цифрами так, чтобы равенство стало верным.

Стр. 15 учебника 2023-2024:

Стр. 15 учебника 2011-2022:
Повтори, что такое равенство.
Стр. 15 учебника 2023-2024:
Повтори действия с двузначными числами.
Начерти в тетради такой же прямоугольник.

Вспомни понятия "направо-налево".
"Повтори материал о многоугольниках.
Магические квадраты:

Сложи числа в каждом квадрате по строкам, по столбцам, из угла в угол. Если суммы равны, то такой квадрат называется магическим.
Вернуться к содержанию учебника